Режим работы.

Изделие АБРИС предназначено для решения задач самолетовождения, в том числе для подготовки и планирования маршрута, картографического обеспечения на всех этапах полета, обработки информации от навигационных датчиков, выдачи информации в сопрягаемые системы, выполнения штурманских расчетов.
Ответить
Аватара пользователя
Schellenberg
General of the Air Force
General of the Air Force
Сообщения: 163
Зарегистрирован: 24 ноя 2025, 12:02
Откуда: Москва
Контактная информация:

Режим работы.

Сообщение Schellenberg »

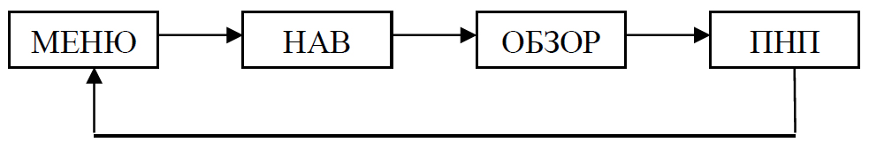
В изделии АБРИС имеются четыре основных режима: МЕНЮ, НАВИГАЦИЯ, ОБЗОР, ПНП. В каждом режиме возможен переход в подрежимы. При включении изделия на дисплей выводится страница режима МЕНЮ. При последовательном нажатии пятой кнопки основные режимы переключаются по приведенной ниже схеме.

Изображение

Индикация текущего режима осуществляется в системной строке. Навигационные вычисления, прием и передача информации производятся постоянно и независимо от текущего режима индикации.
Студия SCHELLENBERG - https://schellenberg.pro
Ответить